Interesting video on rudder bracket failure
Posted: Tue Sep 06, 2022 2:14 am
by hoodun
Just passing this info onto the forum:
I came across a video of a recent near tragic incident relating to rudder failure. It appears this is an anomaly incident that could have been caused by strapping the airplane in-properly during transport??
note: The intro clip is not his plane. Luckily there was no accident.
https://www.youtube.com/watch?v=D_Q8iVHhK_s
Re: Interesting video on rudder bracket failure
Posted: Tue Sep 06, 2022 5:22 am
by JCollinet
Thanks for posting. That’s my video. I would love to hear from anyone who’s seen anything like this before. At the moment I don’t know that it’s ever been trailered but I’ll reach out to the original builder about it. Appreciate everyone’s input on this scary situation. (Onex 090)
Re: Interesting video on rudder bracket failure
Posted: Tue Sep 06, 2022 8:22 am
by bvolcko38
Scary!
My guess is that CCP-42 rivets were used instead of 44’s
Re: Interesting video on rudder bracket failure
Posted: Tue Sep 06, 2022 8:34 am
by GraemeSmith
Just conversation. NOT saying you were wrong in ANY way.
-
Good catch.
-
And this is why I pick up the tail of my Sonex during the walk around. It’s only about 25lb on the tailwheel - and picking up the tail allows for a thorough inspection of everything back there.
-
This particular rudder failure is somewhat unique to the design which is not common. Not unknown - just not as common as here. More planes have some kind of rudder horns which are easier to push and pull on to inspect.
-
Spin recovery - There is a non-PARE method that MIGHT work where you don’t have a rudder. It works on a Cessna 150/2 and 172 that I am aware of as I have practiced it (with the CFI who showed me it). I do NOT advocate it as routine. It needs about 3,000ft of altitude and you have to finesse the end of the recovery to be sure you don’t secondary stall or end up spinning the other way.
I haven’t actually tried it on my Sonex as even with pro-spin controls and IN the correct CG range - I find it hard enough to spin the plane normally!
- Good catch.
Re: Interesting video on rudder bracket failure
Posted: Tue Sep 06, 2022 9:22 am
by MichaelFarley56
Wow! I sure am glad that was found before the flight and no accidents resulted.
I haven’t seen the assembly of the Onex rudder, but if it’s anything like the stub rudder on the Waiex, I’m guessing there are small angles inside of the rudder skin that attach the rudder skin to the thicker drive plate. If that’s the case, it would appear that the angle pieces are all broke except maybe part of one. I don’t see any tears in the skin itself so it must be the pieces that connect the drive plate to the rudder skin.
I seem to recall there was a fairly recent Service Bulletin for the Waiex that dealt with the rudder hinge and possible tears in the skins. Perhaps these are all related somehow? Something must be putting stress on the bottom of the rudders, causing these failures.
Regardless, this was a good catch! Well done preventing a very serious issue!
Re: Interesting video on rudder bracket failure
Posted: Tue Sep 06, 2022 9:50 am
by Bryan Cotton
Thanks for the video. I keep my tail on a sawhorse due to space constraints (too many catamarans in the hangar). I’ll add that to my preflight list.
Re: Interesting video on rudder bracket failure
Posted: Tue Sep 06, 2022 11:22 am
by daleandee
Good catch … but I believe this should have been caught much earlier as there was reportedly a pre-purchase inspection and two conditional inspections done. To say that this would not likely be caught on a routine preflight is a little misleading. I like lifting the tail & twisting the rudder during preflight. Not saying I couldn’t have missed this but just giving the way I do it.
But the main takeaway for me was seeing the problem while watching the video. Then I went to look at the comments for the video and noted that Sonex Tech also saw it and pointed out what was at least one major contributor to the near failure:
Kerry Fores states:
“The most likely reason for this failure is the NON-STANDARD, NON-SONEX tailwheel pushrod. The top-mounted pushrod on this aircraft was prying the the rudder drive rib down. The kit-provided pushrod and installation has the tailwheel pushrod mounted UNDER the drive horn. This was a builder modification that was not thought out. Many builder modifications and “improvements” lead to unintended consequences. We see it all the time”
Look at the binding of the rod and the slop that is in the rod ends. How does that not get caught during a walkaround inspection? Forgive me if I come across a bit brash but my instructor warned me when he said, “never cheat yourself out of a good preflight.”
I’m very thankful you caught this and by the Grace of God you are still here to pass on a warning to us all. Yes I will more thoroughly inspect my plane now that you have pointed this out. Thanks for doing so!
Re: Interesting video on rudder bracket failure
Posted: Tue Sep 06, 2022 2:17 pm
by Bryan Cotton
I took a look at mine:
Mine is not stock - I used one of Peter’s links. The stock link was giving me fits trying to make it fit. There is a possible evidence of the locknut contacting the horn. I think I’ll make the bolts one size longer, and add a couple of washers on both ends.
Also note I used solid rivets to fasten the horn to the bottom of the mini rudder. Also not to plans. It makes me happy though.
Re: Interesting video on rudder bracket failure
Posted: Tue Sep 06, 2022 4:45 pm
by Scott Todd
Kerry says “The top-mounted pushrod on this aircraft was prying the the rudder drive rib down”. It seems like the torque moment is the same from the top to the bottom. The thru bolt should see roughly the same load.
If we think about a landing load, as seen from the left side of the airplane, the bending up of the tail spring will cause a counter-clockwise moment induced at the thru bolt. The moment is similar whether from the top or bottom. In fact, the rod end bearing should reduce the bending moment compared to the fixed pushrod Sonex uses.
The slop in the rod ends is another story. It could be causing some impact momentum on the bolt similar to hammering. I could see lots of taxing working on those rivets. I think the investigation needs to look further at the rivets, holes, previous life, etc.
Kerry has an excellent point about second hand airplanes. You just never know what its been thru. It was mentioned in the video comments about possible trailering. Its VERY destructive on airplanes if not done and monitored properly.
Re: Interesting video on rudder bracket failure
Posted: Tue Sep 06, 2022 6:37 pm
by JCollinet
Bryan,
What’s that line going right across your control horn???
Re: Interesting video on rudder bracket failure
Posted: Tue Sep 06, 2022 6:57 pm
by Bryan Cotton
JCollinet wrote:Bryan,
What’s that line going right across your control horn???
You mean the line that is almost vertical WRT the picture? That is the end rib I think.
Re: Interesting video on rudder bracket failure
Posted: Tue Sep 06, 2022 7:03 pm
by JCollinet
Ah I think I see it…you slid the control horn INSIDE the rib? Mine is riveted to the bottom of that rib…or it was before it tore off.
Re: Interesting video on rudder bracket failure
Posted: Tue Sep 06, 2022 7:54 pm
by lakespookie
This is obviously no god but i dont think you would have lost full rudder authority since the rudervator of the y tail function as a rudder, That being said you would def have reduction of rudder authority, by what amount i cant say that would require some analysis. That being said thats still pretty scary.
Re: Interesting video on rudder bracket failure
Posted: Tue Sep 06, 2022 8:21 pm
by Bryan Cotton
lakespookie wrote:This is obviously no god but i dont think you would have lost full rudder authority since the rudervator of the y tail function as a rudder, That being said you would def have reduction of rudder authority, by what amount i cant say that would require some analysis. That being said thats still pretty scary.
The airplane in the video with the failed rivets was a Onex, not one of the extra cool Y tails. I do agree a Waiex would fare better for this failure.
Re: Interesting video on rudder bracket failure
Posted: Tue Sep 06, 2022 10:28 pm
by sonex892.
Looks like the onex rudder drive connection to end rib is a totally different configuration to a sonex. Hopefully this is a one off builder error..
Re: Interesting video on rudder bracket failure
Posted: Wed Sep 07, 2022 2:18 am
by Kai
Not at all uncommon, I´m affraid!
I reported a similar incident on my Legacy #0525 rudder, built according to the drawings, after some 500 flight hours a couple of years back.
What happened was that the rudder bracket, riveted to the underside of the of the bottom rib, started to pull the rivets through the rib. There was no rivet failure- just the rib material giving way. And the increasing gap between bracket and rib was clearly there for all and sundry to see. I blamed it on my home strip surface. Many years ago Sonex stated that the gear as a whole was not intended for rough grass field operation.
So off came the rudder, and out with all the rivets holding bracket to rib and rib to rudder. Then a 1/8 bolster plate was shaped to go on the inside of the bottom rib. New, longer rivets to sandwich the bottom rib between bracket and bolster. And of course rivet the bottom rib back in place.
It has been sitting there for apprx 150 hrs now- still looking healthy. But there is always still that nagging doubt, so the assembly gets an extra look during every DI.
Re: Interesting video on rudder bracket failure
Posted: Wed Sep 07, 2022 9:42 am
by Scott Todd
One more documented occurrence doesn’t make it common. But I would like to hear some numbers from Sonex.
Re: Interesting video on rudder bracket failure
Posted: Wed Sep 07, 2022 12:38 pm
by daleandee
Kai wrote:Not at all uncommon, I´m affraid!
I reported a similar incident on my Legacy #0525 rudder, built according to the drawings, after some 500 flight hours a couple of years back.
What happened was that the rudder bracket, riveted to the underside of the of the bottom rib, started to pull the rivets through the rib. There was no rivet failure- just the rib material giving way. And the increasing gap between bracket and rib was clearly there for all and sundry to see. I blamed it on my home strip surface. Many years ago Sonex stated that the gear as a whole was not intended for rough grass field operation.
So off came the rudder, and out with all the rivets holding bracket to rib and rib to rudder. Then a 1/8 bolster plate was shaped to go on the inside of the bottom rib. New, longer rivets to sandwich the bottom rib between bracket and bolster. And of course rivet the bottom rib back in place.
It has been sitting there for apprx 150 hrs now- still looking healthy. But there is always still that nagging doubt, so the assembly gets an extra look during every DI.
If your legacy Sonex was built as you describe above it was not built to plans.
I flew my Cleanex this morning (the plane performed flawlessly - again) and took special note during preflight to inspect the area of the rudder drive horn, especially the assembly of it, and then compare it with the plans. The set of authenticated plans I have for Serial # 1319 shows the rudder drive plate is mounted on top of the bottom rib of the rudder … not below it. You cannot see the drive plate under the rudder as in the video of the OneX posted by the OP.
I don’t know if the OneX build is the same in this area. But if the plans call for it to be assembled the same way as the Legacy Sonex rudder is - then a few people need to openly and loudly offer an apology to Sonex LLC for shouting fire in a crowed theater. How about a follow up video describing how the plane was inncorrectly built and that the problem is poor workmanship, not Sonex LLC.
When properly assembled according to the plans and proper hardware is used for the drive rod to keep the geometry correct and prevent binding - there is not a problem here!
Re: Interesting video on rudder bracket failure
Posted: Wed Sep 07, 2022 3:13 pm
by Kai
Scott Todd wrote:One more documented occurrence doesn’t make it common. But I would like to hear some numbers from Sonex.
Yup- you´re right!
More than a few are needed before this could be called common. As previously stated, I did not suspect anything wrong with the plans. I blamed my loose rivets on forces on the bracket from the (original) steering rod (has since been rebuilt with spherical joints), and the rough ground conditions at my home field.
I checked my plans- to DaleandDee I can only say that the horn on my (original red stamp) drawings is shown to go under the bottom rib, so for me the setup is (was, by now) built according to the #0525 plans. Looking at other pictures in this thread it stems more than mine have been built that way.
Re: Interesting video on rudder bracket failure
Posted: Wed Sep 07, 2022 3:40 pm
by Kai
But,
Since we are scrutinizing the Sonex tail- how many of you have come across this one?
Re: Interesting video on rudder bracket failure
Posted: Wed Sep 07, 2022 3:59 pm
by GordonTurner
Kai
The picture is pretty dark, but are we looking at a cracked tailwheel leg just aft of the weldment?
Gordon
Re: Interesting video on rudder bracket failure
Posted: Wed Sep 07, 2022 5:26 pm
by Scott Todd
According to my plans (Onex 017) the horn does NOT go inside the rib but on the bottom, just like in the video.
Re: Interesting video on rudder bracket failure
Posted: Wed Sep 07, 2022 5:50 pm
by racaldwell
My technique is to send the copilot back to the tail for a quick inspection. Here he is pointing out the nick in the rudder horn the jam nut made before I lengthened the rod end for some clearance.
Tail Inspector 4 Sm.jpg (150.26 KiB) Viewed 2966 times
Here the inspector is doing some pull ups on the modified Flyboys tailwheel. If my weld can hold through that, then it can take anything.
Tail Inspector 5 Sm.jpg (139.75 KiB) Viewed 2966 times
As you can see, I built my Xenos the way I want it. There are AN470 AD 4-6 rivets on the horn which is almost visible in this picture. The steering linkage was placed that best gives proper rudder and tailwheel movement. The steering arm is homemade and gives sufficient movement about the ball joints.
This is why experimental aviation is a wonderful thing.
Rick Caldwell
Xenos 0057 49 hrs
Camit 3300
Re: Interesting video on rudder bracket failure
Posted: Wed Sep 07, 2022 6:50 pm
by daleandee
Scott Todd wrote:According to my plans (Onex 017) the horn does NOT go inside the rib but on the bottom, just like in the video.
Interesting … I don’t doubt what you are saying but I wonder why Sonex LLC would change from the way it is done on the Legacy aircraft. As I understood from Jeremy the OneX is just a Sonex that was downsized.
Can someone confirm how it’s done on the new B model?
Curious …
Re: Interesting video on rudder bracket failure
Posted: Wed Sep 07, 2022 7:29 pm
by Scott Todd
I had lots of conversations with Jeremy about the Onex design. He appreciated I always asked Engineering based questions. I didn’t know him as well as the Sonex staff so maybe they can comment here. I don’t recall him using the term ‘clean sheet’ directly but he implied it often. He took all the lessons learned from the Sonex and tried to incorporate them. He also often talked about ease of build and simplifying things to make them quicker and simpler. He was very proud of his Dad’s accomplishments but also proud of the Onex and the fact he called it his. I didn’t build a Sonex but I did own one and have flown a few others. While they look similar, I think as you dig down you’ll find lots of differences.
Re: Interesting video on rudder bracket failure
Posted: Wed Sep 07, 2022 10:54 pm
by n502pd
WOW!! Sure glad he found the damage prior to flight!! Since my field is a bit rough, I took carefull attention to the landing loads on the tail wheel spring ‘jouncing’ about, and made sure nothing hits anything, including the jamb nut. I have used several washers on both thru bolts to keep the hiem ends above everything. A longer rod was needed, and the thru bolt at the rudder horn is supported by a heavy duty large washer on the bottom and top, then assembled. simular at the tail wheel horn. So far, no damage, however. I will take the hint, and set it up on a saw horse and view everything on walk around., thanks for that hint!!!
Re: Interesting video on rudder bracket failure
Posted: Thu Sep 08, 2022 1:03 am
by Kai
GordonTurner wrote:Kai
The picture is pretty dark, but are we looking at a cracked tailwheel leg just aft of the weldment?
Gordon
Nope!
The tailwheel leg is just fine- no issues. This is just the length of 4130 steel pipe that protrudes out of the flat steel tailpost bracket: cracked just to the rear of the weld heat zone.
Re: Interesting video on rudder bracket failure
Posted: Thu Sep 08, 2022 9:20 am
by 13brv3
Thanks for the thread and heads-up. Mine is fine so far, but only 41 hrs and smooth pavement. this is definitely getting added to the pre-flight though.
Rusty
Re: Interesting video on rudder bracket failure
Posted: Fri Sep 09, 2022 8:58 pm
by flyingbear
After I saw the video I checked mine again and found 3 rivets were a smidgen loose, but barely. I will replace soon.
240 hours on rain grooved runway–which is LOUD!! I never land hard.
GlenB
Re: Interesting video on rudder bracket failure
Posted: Sat Sep 10, 2022 2:00 am
by peter anson
Kai wrote:But,
Since we are scrutinizing the Sonex tail- how many of you have come across this one?
Failure of the tail spring mounting bracket is fairly common. I know of at least three just in Australia. The problem is that the 4130 steel tube is nearly twice as stiff as the titanium tail spring so that it takes most of the load, but it has lower strength than titanium which is already pretty highly stressed. After my original bracket broke at about 400 landings I replaced it with a stronger fitting which is also designed to flex a bit more. All good so far after another 400 landings.
Regarding Kerry’s assertion that the rudder failure on the Onex is due to the non standard push rod arrangement: I agree that mounting the rod end on the top of the rudder horn increases the forces that are pushing the horn up and down and it’s a really bad idea to mount it on the top, but even the standard arrangement does tend to push the horn up and down, just not quite as much. One reason that so many builders go off plan on the push rod is that the original Sonex part is so obviously not ideal. The tail spring bends a long way and the only way the standard push rod can cope with the vertical deflection is by having plenty of slop in the holes. Not really a good engineering solution.
Re: Interesting video on rudder bracket failure
Posted: Sat Sep 10, 2022 9:33 am
by Scott Todd
Peter, Since you agree with Kerry that the forces are pushing the horn down, could you draw a simple Free Body Diagram to show it? Anyone?
If its pushing down when mounted on top, then its also pulling down thru the bold head when mounted on bottom. The forces should be similar.
I can see a twisting moment imparted by the original push rod but I think the distance from the top to the bottom of the horn is negligible compared to the forces.
Scott
Re: Interesting video on rudder bracket failure
Posted: Sat Sep 10, 2022 5:21 pm
by gammaxy
Scott, I agree. I’ve tried my hand at a free body diagram and agree that top is worse, but not so much that bottom mounted seems obviously immune given the wide ranges of forces seen on landing.
For my analysis, the force is generated when steering the tailwheel. Steering left applies a force that tends to pull the bracket off. It’s a 3D problem, so it also tends to pull off from the left side where the pushrod is attached. The shop head of the rivets are against the thinner metal where they can work the holes open over time.
It seems to make ~5 degrees difference (top vs bottom) if using the rod end bearings many people use. I calculate about a 30% increase in downward force mounting on top instead of the bottom.
But, when you compare this to the plans design without rod end bearings which pivots more flush, the angle is only about ~2 degree difference versus the worst case. This results in a ~15% increase in downward force when mounted on top.
Re: Interesting video on rudder bracket failure
Posted: Sat Sep 10, 2022 5:49 pm
by Rynoth
Regarding the original video, it’s really weird to me that the bucked-end of those rivets are all clean. I would have thought it likely that they would have taken some material with them when they separated. I’d be really curious to see a pic/video looking up into the bottom of the rudder with the parts separated. It almost seems like they never actually engaged the rib. Perhaps the rivet-holes in the rib were too large?
Re: Interesting video on rudder bracket failure
Posted: Sun Sep 11, 2022 7:36 am
by peter anson
Scott Todd wrote:Peter, Since you agree with Kerry that the forces are pushing the horn down, could you draw a simple Free Body Diagram to show it? Anyone?
If its pushing down when mounted on top, then its also pulling down thru the bold head when mounted on bottom. The forces should be similar.
I can see a twisting moment imparted by the original push rod but I think the distance from the top to the bottom of the horn is negligible compared to the forces.
Scott
I’ll go along with Gammaxy’s calculation. I took drawing number SNX-L03 and drew in the effective link direction with (A) the standard Sonex link (B) a rod ended link to the bottom of the rudder horn and (C) a rod ended link to the top of the rudder horn. According to my calculations, compared to the standard steering link, the rod end link to the bottom of the rudder horn reduces the vertical component of the forces by 20% and the rod ended link to the top of the rudder horn increases the vertical component by 15% which might be a fluke but happens to agree with Gammaxy.
I guess Kerry would argue that 15% is a significant increase but the fact is that rivets are intended primarily as shear fasteners and in this case they are having to carry a tension load. I’m almost a little surprised that we haven’t seen a few more instances of this happening. In an earlier post someone suggested that the holes might have been drilled a bit oversize. Could maybe avoid the possibility of this occurring by installing rivets from the top or fitting a few threaded fasteners.
Peter
Re: Interesting video on rudder bracket failure
Posted: Sun Sep 11, 2022 12:55 pm
by Rynoth
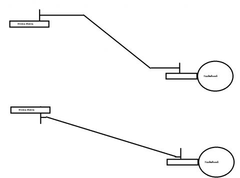
Regarding the downward pressure on the drive horn, and having no idea how to do a free-body diagram, what strikes me is the angle of the connecting rod between the drive horn and the tailwheel. It might be less about whether the connecting rod was mounted on the top or bottom of the drive horn, and more about the angle of the rod where it makes its vertical drop.
I whipped up a crude (and exaggerated) visual of the difference.
At least in my Waiex, which is setup stock and doesn’t use rod end bearings (it’s basically a plate at each and with a welded connecting rod in between), it looks more like the second example. The descent of the connecting rod begins and ends very near the attach points.
In the top figure, I tried to illustrate the impact of not only mounting on the top, but also the rod-end bearings being used that effectively extend the horizontal lengths of the rod, resulting in a much steeper angle when the connecting rod descends to the tailwheel. Image is exaggerated for illustration of the difference.
It seems to me that the top image would have a much larger affect of vertical forces on the drive horn, further amplified by the lever action of the longer horizontal sections introduced by the use of rod end bearings.
And, just to take this concept to its extreme, here is an example of a bottom-mounted setup that is probably far worse in terms of vertical pressure on the drive horn than either of the examples above.
Re: Interesting video on rudder bracket failure
Posted: Sun Sep 11, 2022 6:34 pm
by gammaxy
Rynoth, I treat the rod as a “two-force member”. This means that forces (no moments) are applied at exactly two locations on the rod. The rod end bearings seem to satisfy this as long as they are installed so they don’t bind at either end (if they did, you’d get a moment). The plans-built rod without end bearings is less obvious, but I believe it is typically installed loose enough to rotate without applying a significant moment.
The key takeaway is the shape of a two-force member doesn’t matter for the purpose of calculating forces at either end. Obviously, it has structural implications for the rod, but I think it can be ignored for this analysis as long as both ends are free to rotate.
Re: Interesting video on rudder bracket failure
Posted: Sun Sep 11, 2022 7:43 pm
by Rynoth
Interesting Chris, thank you for that explanation. I can see how the issue could be isolated to the mounting location(s) using that analysis, provided there is no binding at the attach points.
Re: Interesting video on rudder bracket failure
Posted: Sun Dec 11, 2022 1:17 pm
by mccool
Notwithstanding that a spin when in that situation would ruin your day, if I had to lose 1 of my primary controls, the rudder would be my 1st choice.
Re: Interesting video on rudder bracket failure
Posted: Sun Dec 11, 2022 10:31 pm
by dbdevkc
daleandee wrote:
Scott Todd wrote:According to my plans (Onex 017) the horn does NOT go inside the rib but on the bottom, just like in the video.
Interesting … I don’t doubt what you are saying but I wonder why Sonex LLC would change from the way it is done on the Legacy aircraft. As I understood from Jeremy the OneX is just a Sonex that was downsized.
Can someone confirm how it’s done on the new B model?
Curious …
I’m curious about that as well. It would seem to me that with the forces on the rudder horn, the shop head of rivets would be more likely to pull through the thinner rib material. Except for a few odd occurrences done for spacing/fitment reasons, I was under the impression that the shop head should be against the thicker material.





